• Предмет: Алгебра
  • Автор: anna1079aku
  • Вопрос задан 3 года назад

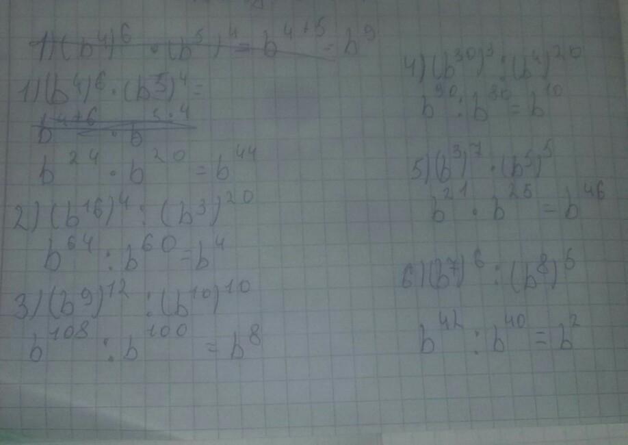
Номер 4.4 прошу ,даю 40 баллов

Приложения:

Ответы

Ответ дал: fettervika1809
1

Делала не давно

пишешь 40,а даёшь 10

Приложения:
Вас заинтересует