• Предмет: Алгебра
  • Автор: malta12
  • Вопрос задан 3 года назад

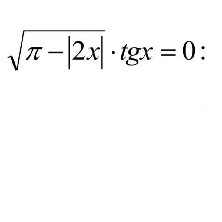
Уравнение пожалуйста помогите как решать.

Приложения:

Ответы

Ответ дал: manyny06
1

Ответ:

решение смотри на фотографии

Объяснение:

Приложения:
Вас заинтересует