• Предмет: Алгебра
  • Автор: sabinajimin
  • Вопрос задан 3 года назад

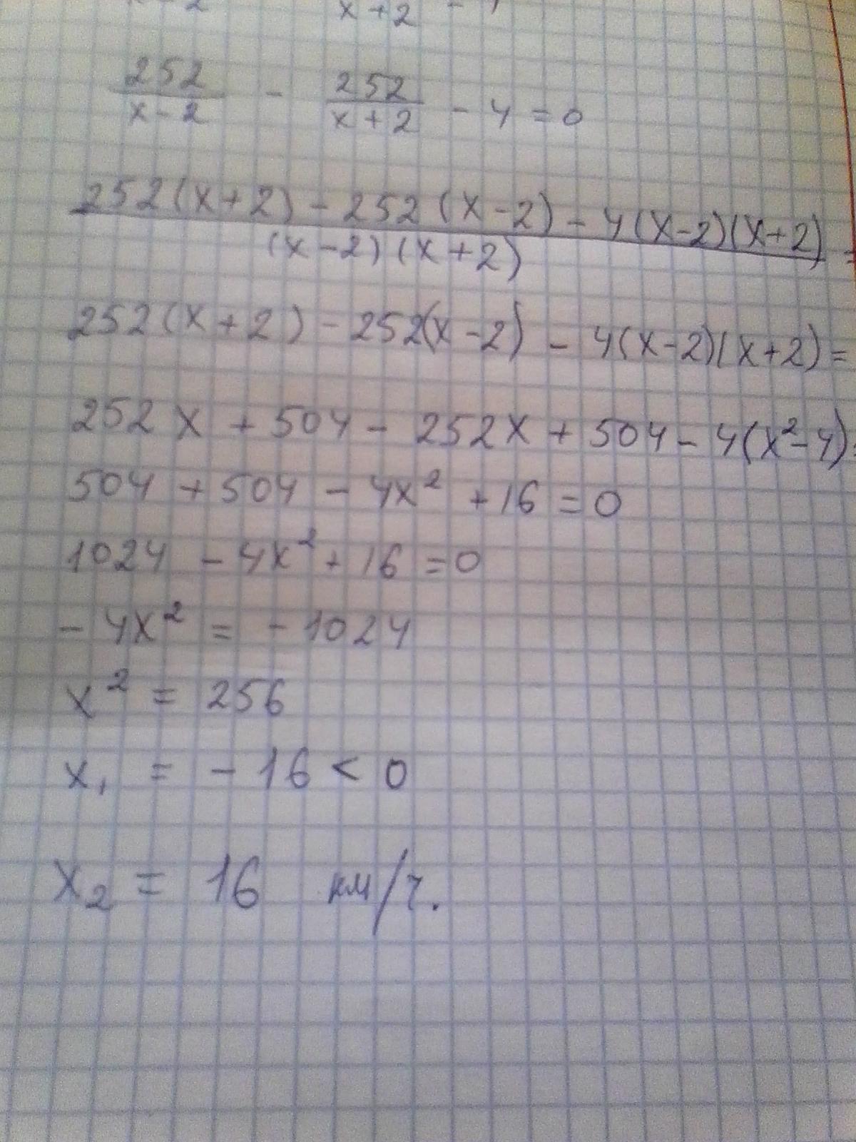
моторная лодка прошла против течения реки 252 км и вернулась в пункт отправления,затратив на обратный путь на 4 часа меньше.Найдите скорость течения реки, если скорость лодки в неподвижной воде если скорость течения равна 2 км/ч.

Ответы

Ответ дал: 250875
8

Ответ:16 км/ч

Объяснение:

Приложения:
Вас заинтересует