• Предмет: Математика
  • Автор: plekanliza
  • Вопрос задан 3 года назад

Помогите пожалуйста
Решите уравнение
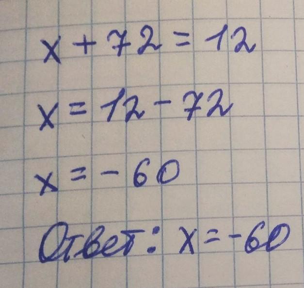
х+72=12
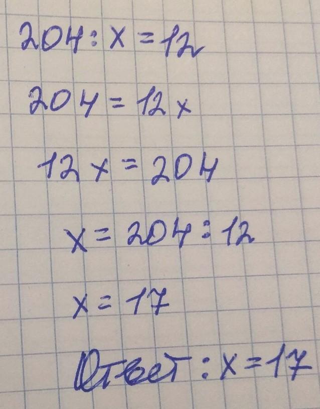
204:х=12

Ответы

Ответ дал: kicenkoyrasuper
1

1 уравнение и 2 уравнение :

Ответ:

_________________________

Надеюсь ты понял(а), Если не сложно сделай ответ лучшим))

Приложения:
Вас заинтересует