• Предмет: Математика
  • Автор: Maksimmm12
  • Вопрос задан 3 года назад

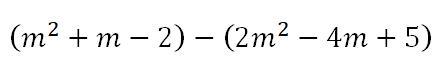
Найти разность многочленов

Приложения:

Ответы

Ответ дал: avicii5194
0

Ответ:

-m^2 + 5m - 7

Пошаговое объяснение:

Скачай Photomath

Вас заинтересует