• Предмет: Геометрия
  • Автор: sofinakristina95
  • Вопрос задан 3 года назад

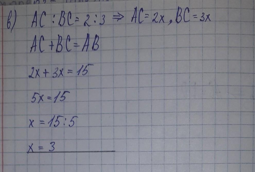
На отрезке AB длинной 15 см отмечена точка C.Найдите длины отрезков AC и CB если а)отрезок АС на 3 метра длинеее отрезка СВ б)отрезок АС в два раза длиннее отрезка ВС длины отрезков АС и ВС относятся как 2:3

Ответы

Ответ дал: pavlenkokatya1987
0

Ответ:

Мы это делали)

Объяснение:

Вооооот)))))

Приложения:
Вас заинтересует