• Предмет: Алгебра
  • Автор: avgustaristarx
  • Вопрос задан 3 года назад

Помогите пожалуйста !

Приложения:

Ответы

Ответ дал: murmarringo
1

Объяснение:

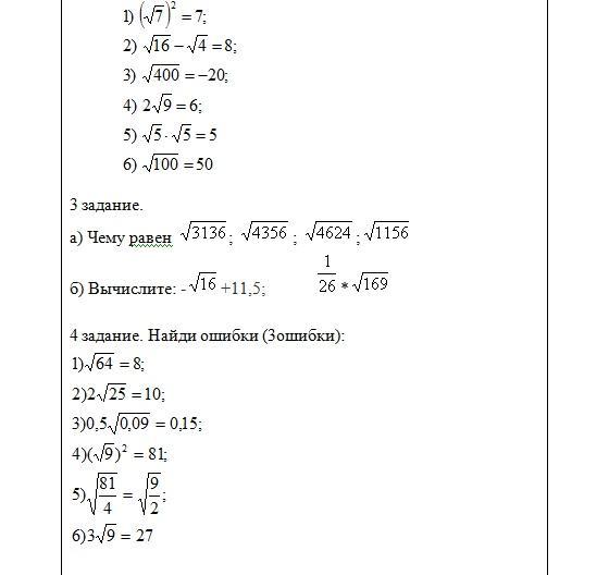
3 задание.

А)

 \sqrt{3136}  = 56

 \sqrt{4356}  = 66

 \sqrt{4624}  = 68

 \sqrt{1156}  = 34

Б)

 -  \sqrt{16}  + 11.5  =  - 4 + 11.5 = 7.5

 \frac{11}{26}  \times  \sqrt{169}  =  \frac{11}{26}  \times 13

Сократить 13 и 26:

 \frac{11}{2}

4 задание.

4, 5, 6

Вас заинтересует