• Предмет: Математика
  • Автор: bivaeit
  • Вопрос задан 3 года назад

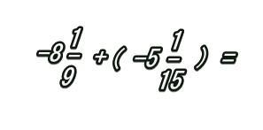
помогите решить задачу

Приложения:

Ответы

Ответ дал: KotHapkoTq
1

Ответ:

=-13 8

45

Пошаговое объяснение:

минус 13 целых восемь/сорок пьятых

Вас заинтересует