Оочень срочно, пожалуйста... Составте блок-схему и программу для нахождения среднего арифметического всех натуральных двузначных чисел, кратных 8
Ответы
Ответ дал:
0
var
i,x,c: integer;
s: real;
begin
for i:=10 to 99 do begin
if i mod 8 =0 then begin
inc(c);
s:= s+i;
end;
end;
writeln(s/c);
end.
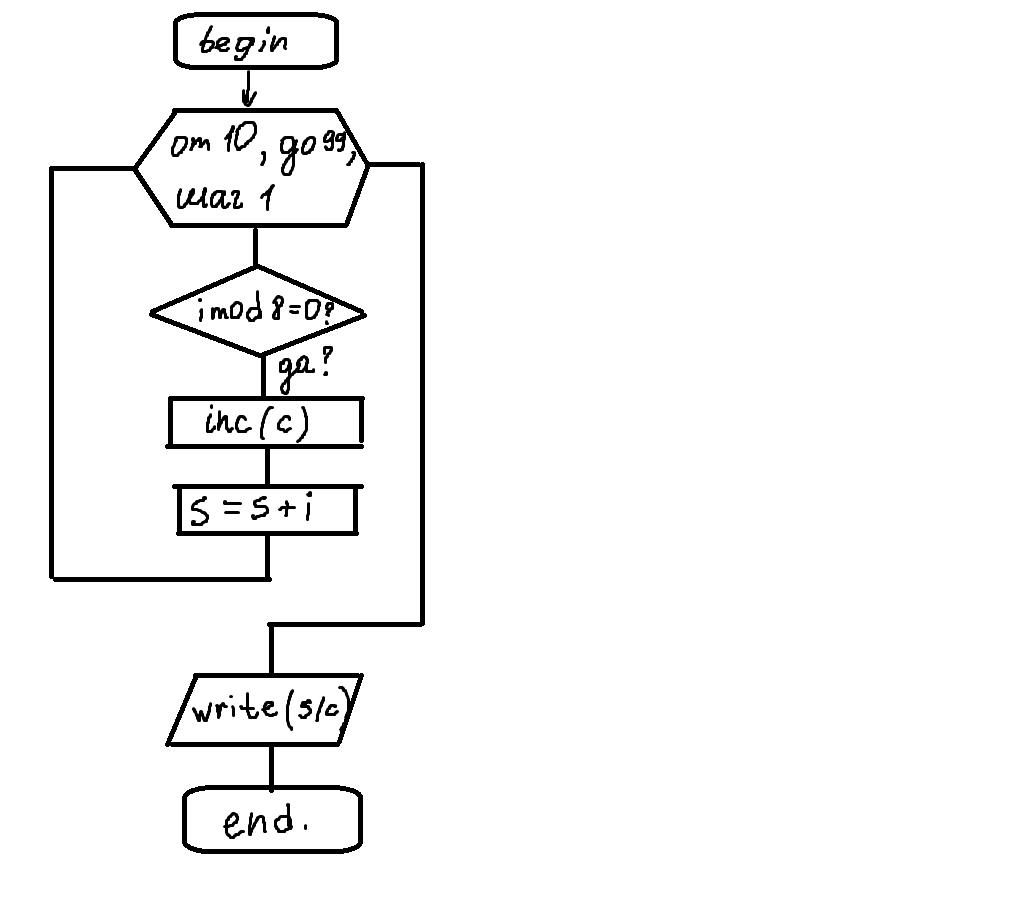
и блок-схема ниже, во вложении
i,x,c: integer;
s: real;
begin
for i:=10 to 99 do begin
if i mod 8 =0 then begin
inc(c);
s:= s+i;
end;
end;
writeln(s/c);
end.
и блок-схема ниже, во вложении
Приложения:

Вас заинтересует
2 года назад
2 года назад
8 лет назад
8 лет назад
10 лет назад
10 лет назад
10 лет назад