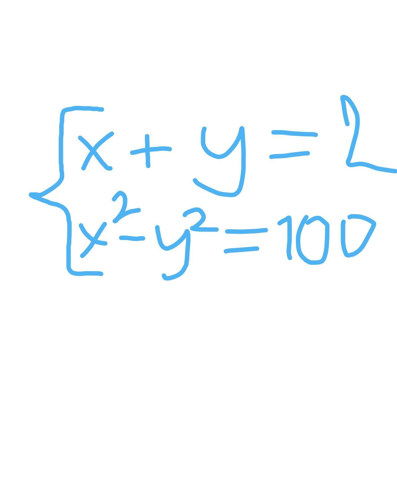
80.решите способом подстановки систему уравнений срочно даю много балов задание на фото
Приложения:

Ответы
Ответ дал:
0
- x=2-y
- x2-y2=100
- (2-y)2-y2=100
- y=24
- x=2-(-24)
- x=26
Ответ:(26, -24)
Вас заинтересует
2 года назад
2 года назад
7 лет назад
7 лет назад
9 лет назад