• Предмет: Алгебра
  • Автор: Эля123
  • Вопрос задан 11 лет назад

помогите с 7 номером позязя

Приложения:

Ответы

Ответ дал: Цогик
0
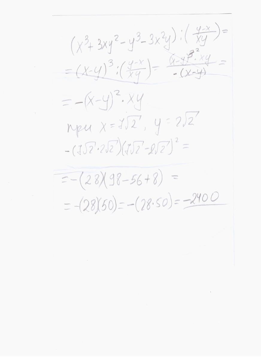
Решила 7 номер)
Вроде так)
Принтер размазано сканирует только(
Приложения:
Ответ дал: Эля123
0
спасибо конечно:) но я 7 попросила:)
Ответ дал: Цогик
0
Извините,сейчас будет
Ответ дал: Эля123
0
ничего, спасибо огромное:)
Ответ дал: Эля123
0
ничего, спасибо:)
Ответ дал: mmb1
0
посмотрите в сканированном виде
Приложения:
Вас заинтересует