• Предмет: Алгебра
  • Автор: kateandreeva2005
  • Вопрос задан 3 года назад

Найдите значение выражений

Приложения:

Ответы

Ответ дал: 1tytyty11
0

Ответ:

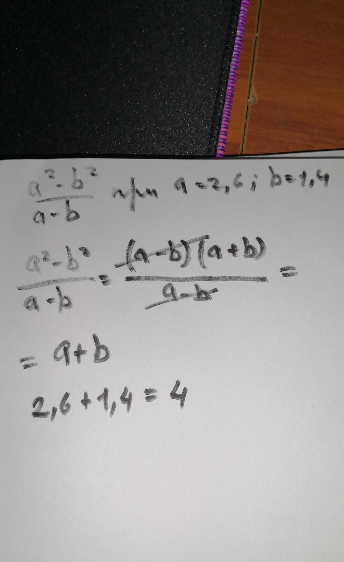
При а=2,6, b=1,4, значение выражения равно 4.

Приложения:
Ответ дал: Opa6666
0

{a^{2}-b^{2}  }  можно сократить используя a^{2}- b^{2}=(a-b)(a+b).

Получается выражение\frac{(a-b)(a+b)}{a-b} .

Мы можем сократить эту дробь:

(a-b) в числителе и  a-b в знаменателе взаимно уничтожаются

и остается только \frac{1+(a+b)}{1} , соответственно получается

a+b

Подставляем значения: 2,6 + 1,4 = 4

Ответ: 4

Вас заинтересует