• Предмет: Алгебра
  • Автор: nikitin8019
  • Вопрос задан 3 года назад

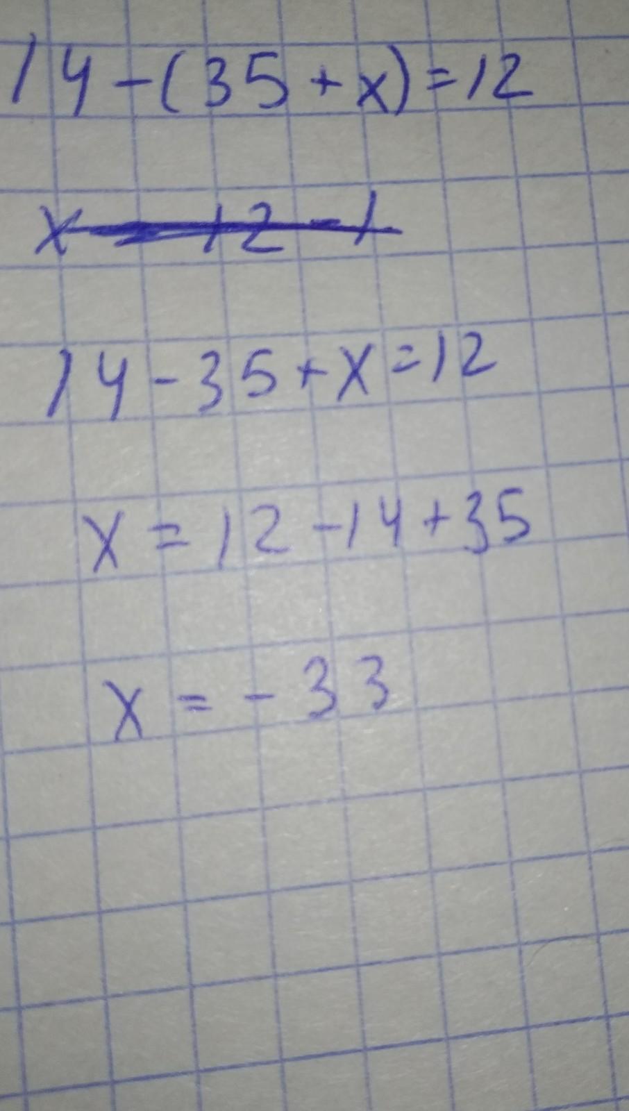
Решите уравнение:14-(35+з)=12


masyukyann: а что за з?
rushana2116: з это походу x
AyZiGvAli: да

Ответы

Ответ дал: rushana2116
2

Ответ:

как то так..............

Приложения:
Ответ дал: AyZiGvAli
1

Ответ:

14-(35+з)=12

14-35-з=12

-з=12+35-14

-з=33

з=-33


AyZiGvAli: привет, надеюсь, помогла))
Вас заинтересует