• Предмет: Математика
  • Автор: valeriagsmn
  • Вопрос задан 3 года назад

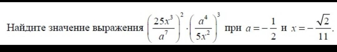
можете пожалуйста объяснить решение этого примера,буду благодарна:)
(задача 9-8 класса)​

Приложения:

Ответы

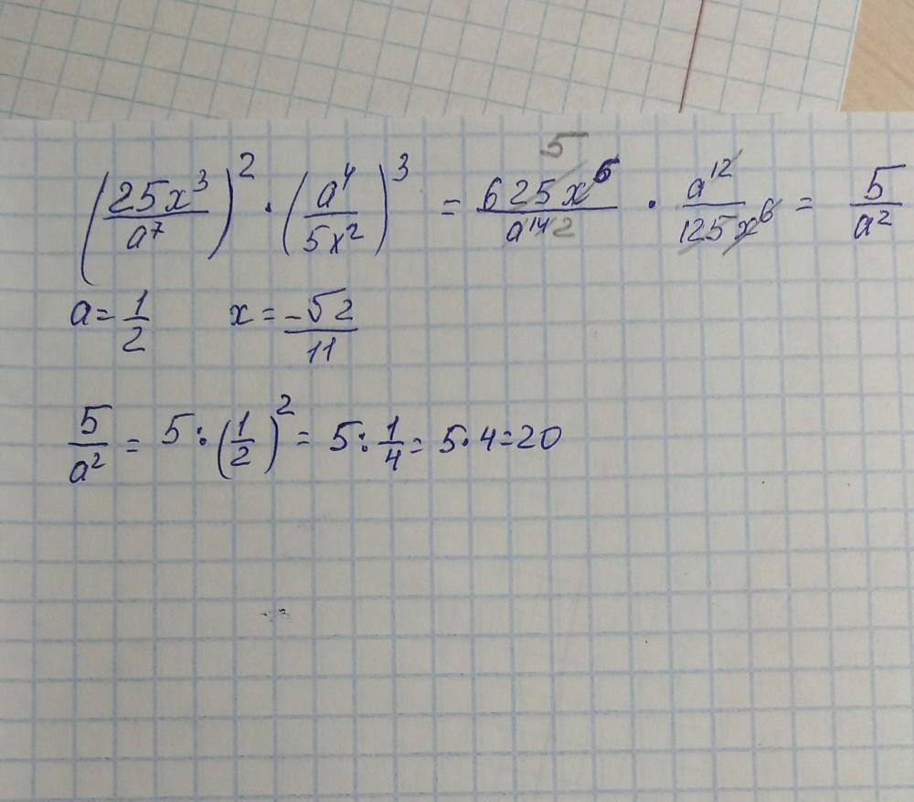
Ответ дал: Gordeevai583
1

Пошаговое объяснение:

там х сокращаются, и 625 сокращается на 125

Приложения:

valeriagsmn: спасибочки
Gordeevai583: не за что)
Вас заинтересует