• Предмет: Алгебра
  • Автор: super1245r
  • Вопрос задан 3 года назад

помощь очень нужна....​

Приложения:

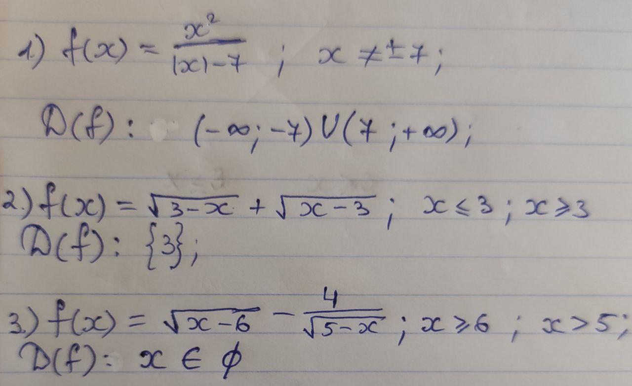
Ответы

Ответ дал: Plumbus175
0

Ответ:

Ответ изложен на фотографии.

Приложения:
Вас заинтересует