• Предмет: Алгебра
  • Автор: nurtazinarman6
  • Вопрос задан 3 года назад

Квадратный корень. Урок 2

Реши уравнение:

Приложения:

Ответы

Ответ дал: serovaksusa1
3

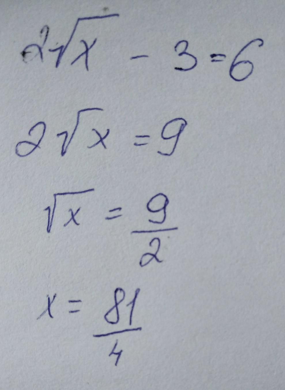
Ответ:

Х=20,25

Объяснение:

Смотри решение на фото

Приложения:

nurtazinarman6: Пасиб
Ответ дал: makeichikanastasia
2

Ответ:

x =  \frac{81}{ 4}

х = 20.25

Приложения:
Вас заинтересует