• Предмет: Алгебра
  • Автор: 2007top1
  • Вопрос задан 3 года назад

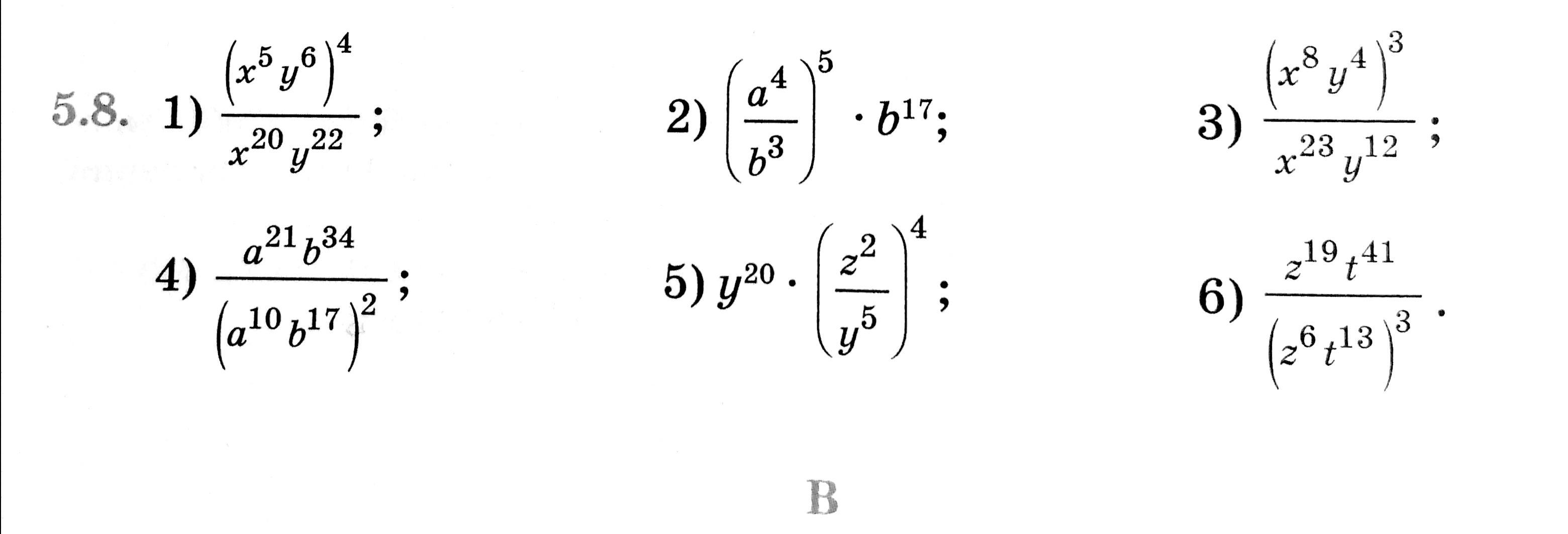
СРОЧНО!!! ДАМ 30 БАЛЛОВ!! УМОЛЯЮ!!!

Приложения:

2007top1: Кто нибууудь

Ответы

Ответ дал: tigran9999abrahamyan
2

Ответ:

Такссс... За подчерк извиняюсь..

Приложения:

2007top1: Сяб
tigran9999abrahamyan: да пожалуйста
Вас заинтересует