Ответы
Ответ дал:
1
Ответ:
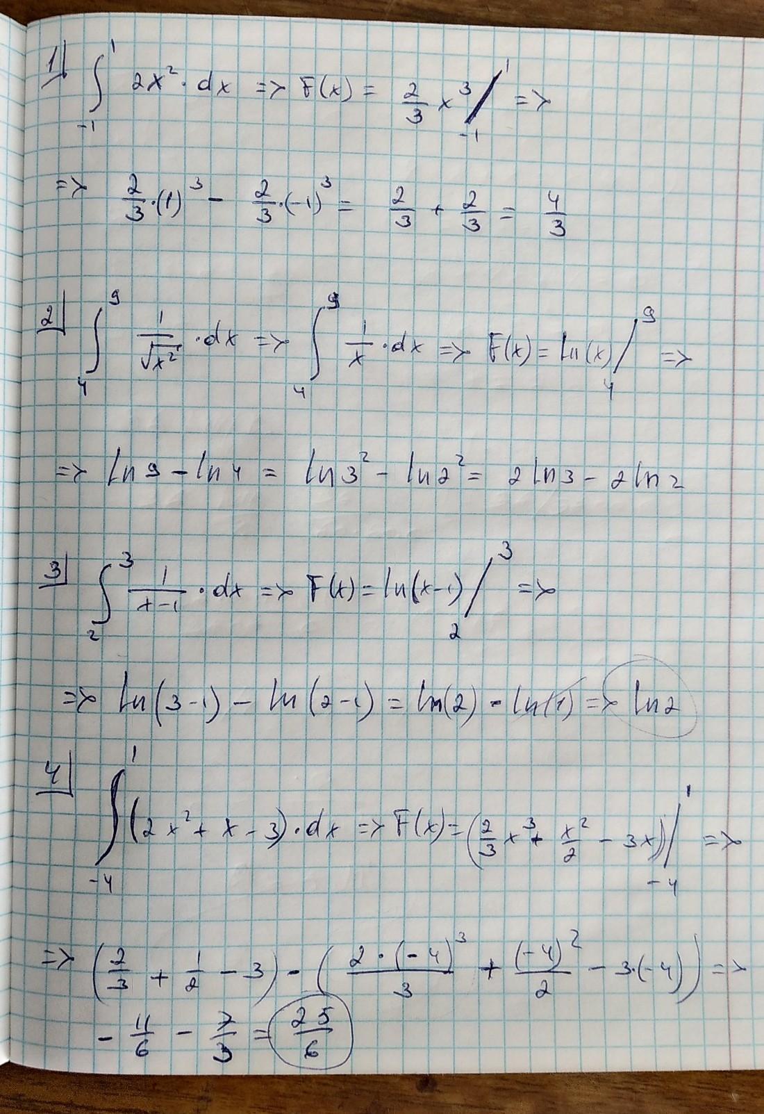
1) 4/3
2) 2ln(3)-2ln(2)
3) ln(2)
4) 25/6
Приложения:

Вас заинтересует
2 года назад
2 года назад
2 года назад
2 года назад
7 лет назад
7 лет назад
9 лет назад