• Предмет: Геометрия
  • Автор: ielizaveta9627
  • Вопрос задан 3 года назад

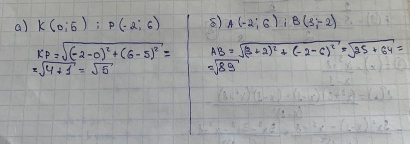
Знайдіть відстань між точками: а) К(0; 5) і Р(-2; 6); б) А(-2; 6) i B(3; -2);

Ответы

Ответ дал: kalynovskaaa
30
а) КР = корінь з 5 б) АВ = корінь з 89
Приложения:
Вас заинтересует