Ответы
Ответ дал:
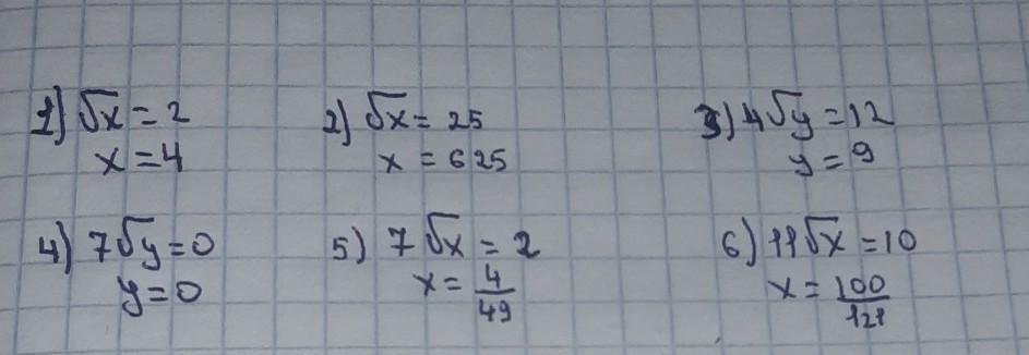
0
Объяснение:
мммммммммммммммммммммммммммммммммм
Приложения:

Ответ дал:
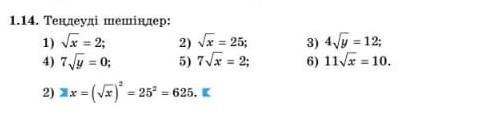
1
Вас заинтересует
2 года назад
2 года назад
7 лет назад
9 лет назад
9 лет назад