• Предмет: Алгебра
  • Автор: doge11299
  • Вопрос задан 3 года назад

Помогите пожайлуста!

Приложения:

Ответы

Ответ дал: tamarabernukho
0

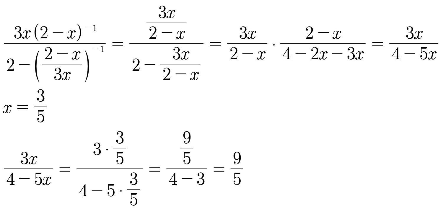
Ответ:

9/5

Объяснение:

.......................................................

Приложения:
Вас заинтересует