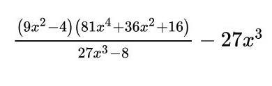
Упростить выражение:
*с каждым действием распишите, пожалуйста*
Я именно не знаю что делать со второй верхней скобкой (81х^4....+16)
                        
                                    Приложения:
                     
                             
                            Ответы
                                            Ответ дал: 
                                                                                    
                                        
                                            
                                                
                                                
                                                
                                                    0
                                                
                                            
                                        
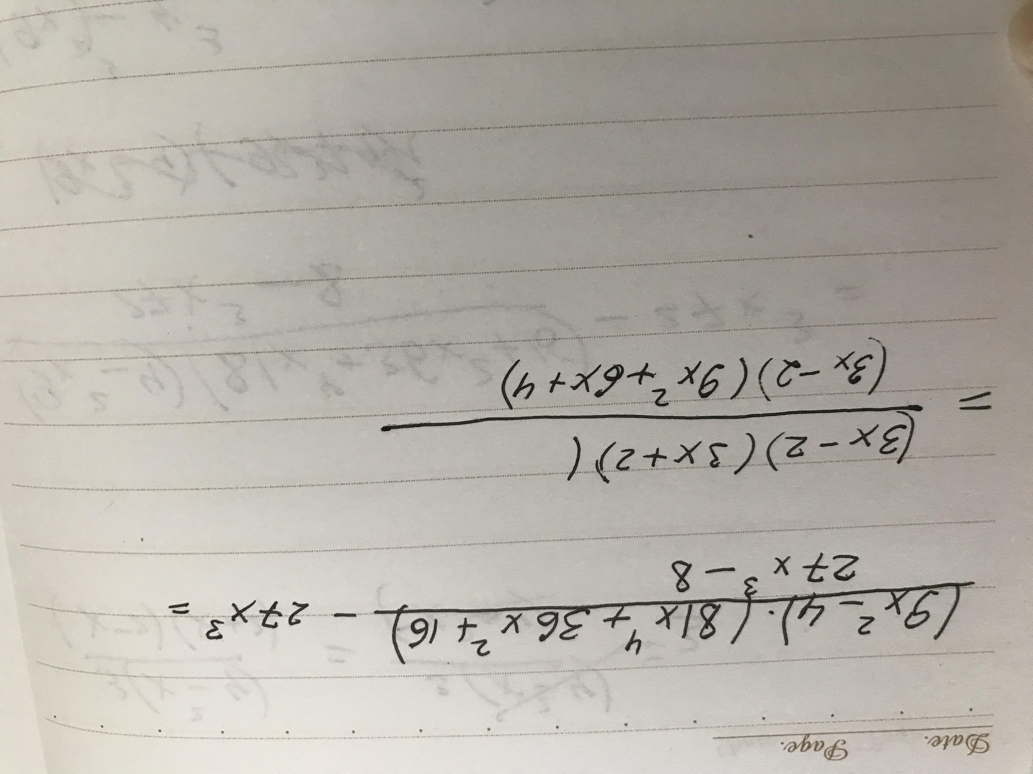
                                    Ответ:
8
Объяснение:
Приложения:
                     
                            Вас заинтересует
                
                        2 года назад
                    
                
                        2 года назад
                    
                
                        7 лет назад
                    
                
                        7 лет назад
                    
                
                        9 лет назад