Ответы
Ответ дал:
1
Объяснение:
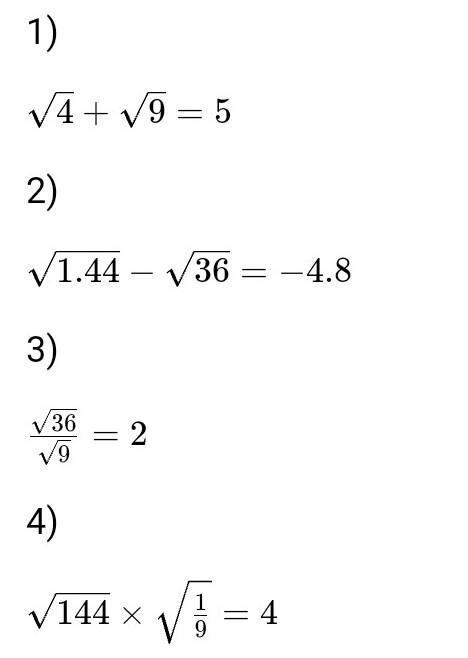
Решение на фото...........
Приложения:

lordyoung731:
спасибо большое!;)
Вас заинтересует
2 года назад
2 года назад
2 года назад
2 года назад
7 лет назад
7 лет назад
9 лет назад