Прошу. Срочно! Помогите!
задача:
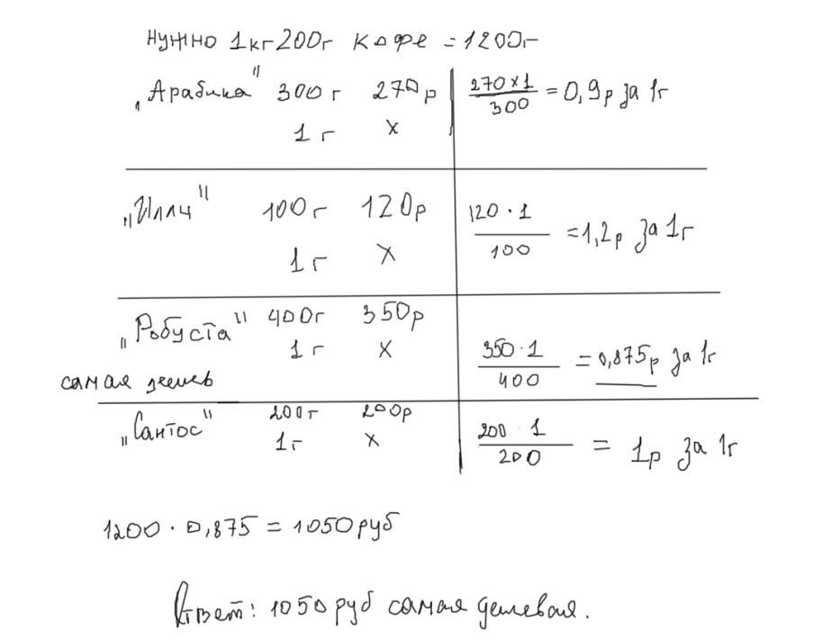
В магазине продаётся кофе разных сортов. Нужно купить 1кг 200г кофе одного сорта. Сколько будет стоить самая дешёвая покупка? Ответ дайте в рублях.
Приложения:

Ответы
Ответ дал:
1
Ответ:
1050 рублей самая дешевая.
Пошаговое объяснение:
Приложения:

Вас заинтересует
2 года назад
2 года назад
2 года назад
7 лет назад
7 лет назад
9 лет назад