• Предмет: Математика
  • Автор: sarayamek
  • Вопрос задан 3 года назад

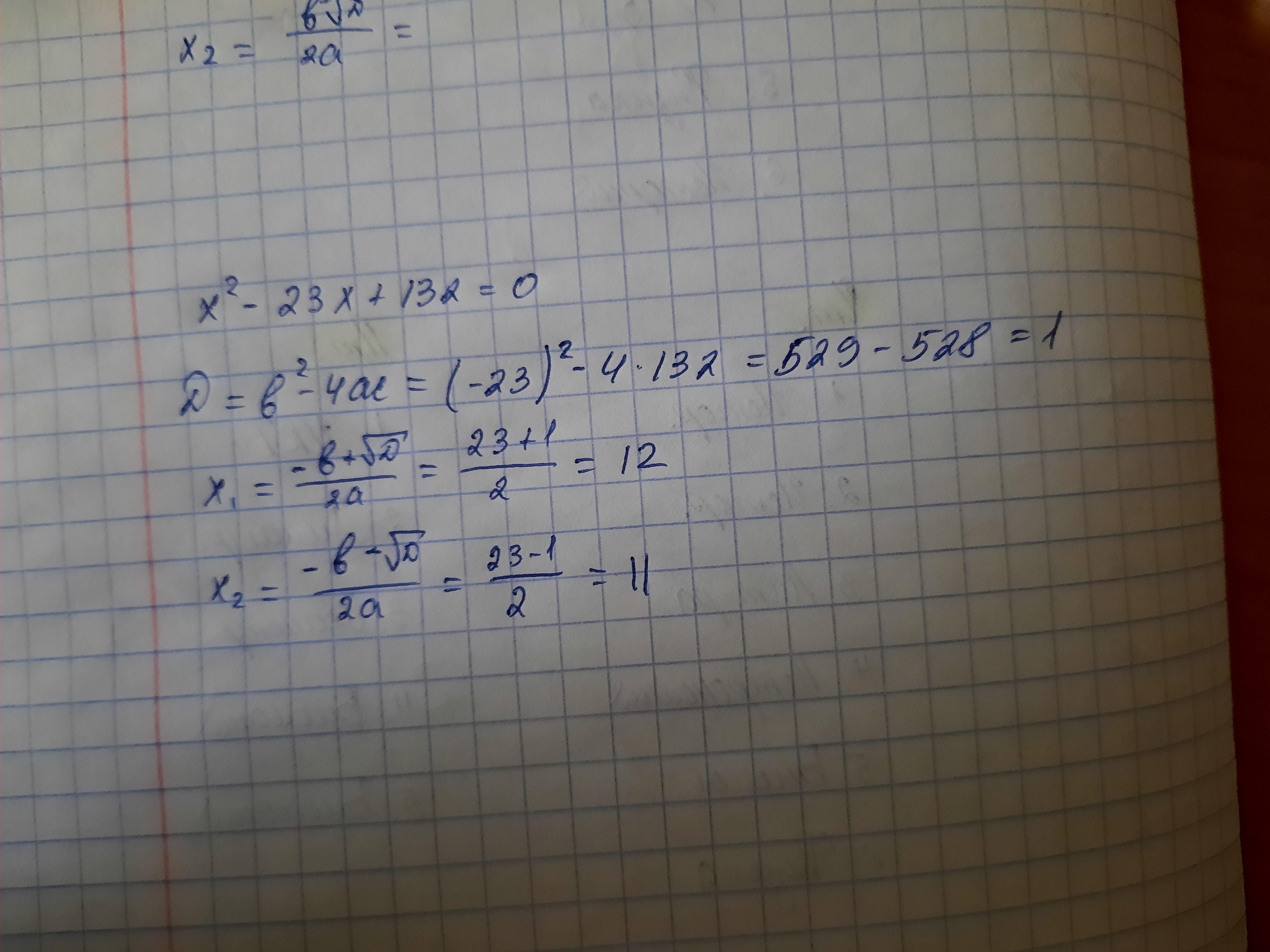
Реши уравнение: x2−23⋅x+132=0. Если уравнение имеет два корня, в ответе укажи меньший из них.

Ответы

Ответ дал: ktchup
0

Ответ:

Пошаговое объяснение:

Приложения:
Вас заинтересует