На отрезке AB длиной 15 м отмечена точка С. Найдите длины отрезков АС и ВС, если 1) отрезок АС на 3м длиннее отрезка ВС 2) отрезок АС в два раза длиннее отрезка ВС 3) точка С середина отрезка АВ 4) длины отрезков АС и ВС относятся как 2:3
прошу помогите
Ответы
Ответ дал:
16
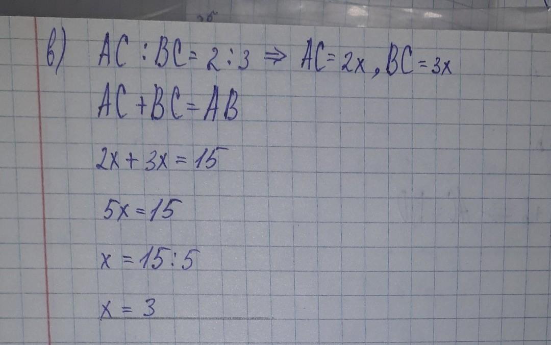
Ответ:
Вот)Мы это делали✌
Объяснение:
Надеюсь помогла)
Приложения:


Аноним:
спасибо
Ответ дал:
8
Ответ:
1)ас9 и ав6
2)ас11.25 ав3.75
3)ас 7.5 ав7.5
Объяснение:
1)х+х+3=15
х=6
2) вс-х
х+3х=15
4х=15
х=3.75
3) значит они равны, 15/2=7.5
Вас заинтересует
2 года назад
2 года назад
2 года назад
7 лет назад
9 лет назад