ПОМОГИТЕ ПОЖАЛУЙСТА!!! СТОЮ НА КОЛЕНЯХ!! ДАЮ 35 БАЛЛОВ И ЛУЧШИЙ ОТВЕТ!!! ПРОШУ ПОМОГИТЕ!!!!!
Приложения:

tansybox643:
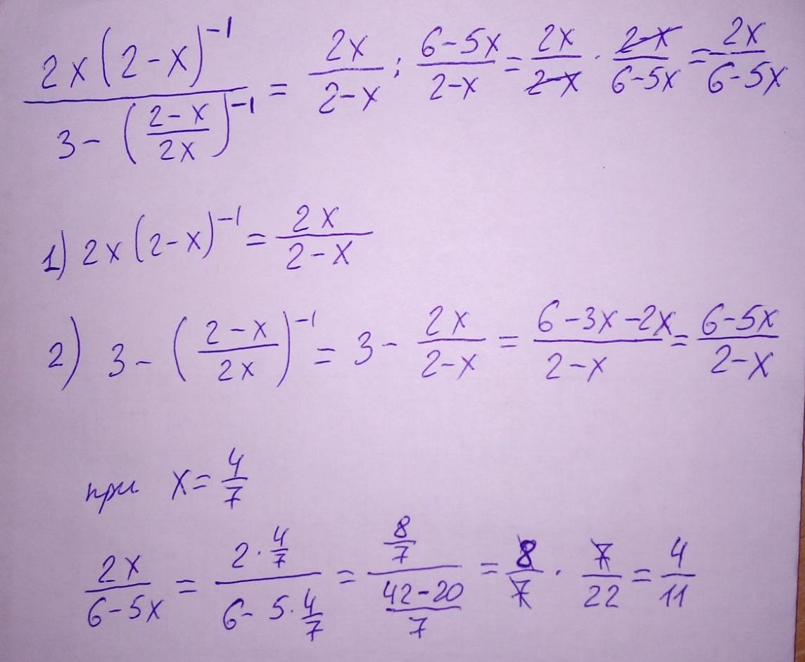
2x/6-5x
Ответы
Ответ дал:
0
Ответ:
Объяснение:
Приложения:

Вас заинтересует
2 года назад
7 лет назад
9 лет назад