• Предмет: Алгебра
  • Автор: BePTJIu66
  • Вопрос задан 3 года назад

Степень с целым показателем. ПОМОГИТЕ РЕШИТЬ! СРОЧНО!

Приложения:

Ответы

Ответ дал: vlad123addd
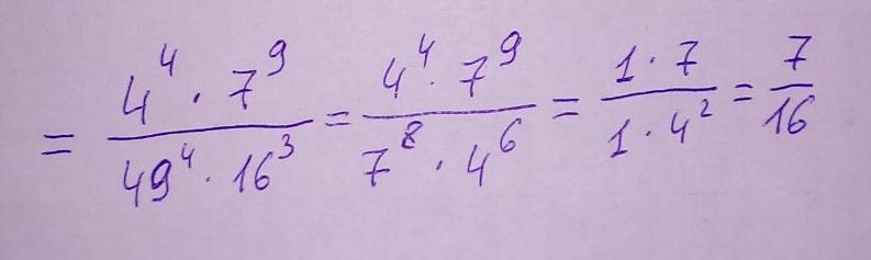
1

Ответ:

\frac{7}{16}

Объяснение:

Приложения:
Вас заинтересует