• Предмет: Физика
  • Автор: musinagulnaz549
  • Вопрос задан 3 года назад

срочно!!!!!
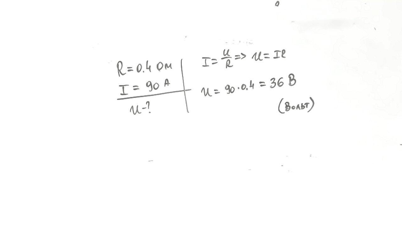
Определите напряжение в дуге при электросварке, если сопротивление дуги 0,4 Ом, а сила
тока в ней достигает 90 А.

Ответы

Ответ дал: elimofetoyp1j9
17

Ответ:

otvet

Объяснение:

Приложения:
Вас заинтересует