• Предмет: Алгебра
  • Автор: MISHANYAMU
  • Вопрос задан 3 года назад

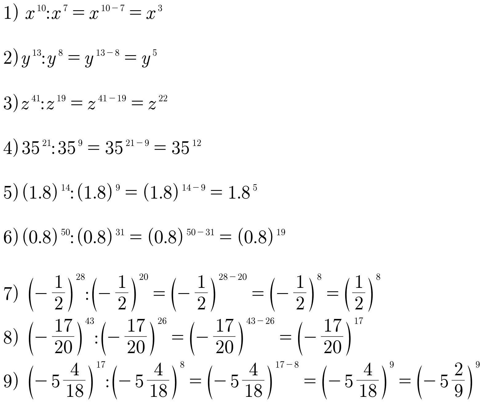
Представьте в виде степени выражения Срочно очень срочно!​

Приложения:

Ответы

Ответ дал: tamarabernukho
2

Ответ:

Объяснение:

Решение 9) дано с учётом возможной опечатки в условии : скорее всего основания должны быть одинаковые

Если они разные - то представить в виде степени не получается..

Приложения:

romanchenkodavid6: https://znanija.com/task/38217913 ПОМОГИ ПЖ
Вас заинтересует