• Предмет: Алгебра
  • Автор: biktasevtimafej
  • Вопрос задан 3 года назад

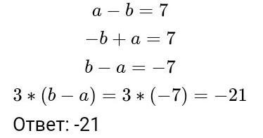
Известно, что a-b=7. Найдите значение выражения 3*(b-a).​

Ответы

Ответ дал: Dedagenn
3

Объяснение:

б-а=-7, тогда 3(б-а)=3*(-7)= -21 -ответ

Ответ дал: noname22830
1

я здесь пишу из-за тупых 20 символах

Приложения:

romanchenkodavid6: https://znanija.com/task/38217913 ПОМОГИ ПЖ
Вас заинтересует