• Предмет: Алгебра
  • Автор: Aidamistake
  • Вопрос задан 3 года назад

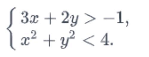
Выясни, является ли пара чисел (-1;1) решением системы неравенств.

Приложения:

Ответы

Ответ дал: natuliks
47

............нет, не является

Приложения:
Вас заинтересует