• Предмет: Алгебра
  • Автор: bdpvat1146
  • Вопрос задан 3 года назад

Помогиое пожалуйста, даю 60 баллов!
алгебра​

Приложения:

Ответы

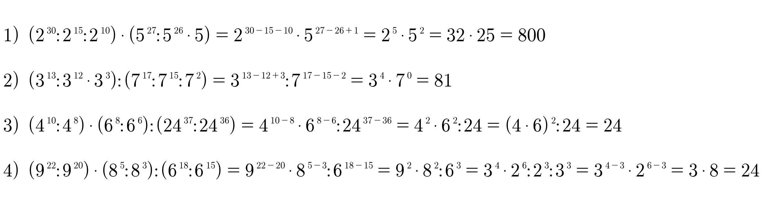
Ответ дал: tamarabernukho
0

Ответ:

Объяснение:

................................................................

Приложения:
Вас заинтересует