Ответы
Ответ дал:
3
Ответ:
Объяснение:
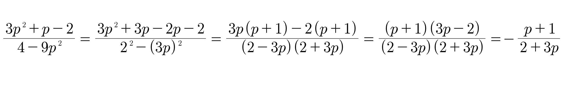
..............................................
Приложения:

nastyakudinova2008:
Помогите пожалуйста мне с литрой
Вас заинтересует
2 года назад
2 года назад
7 лет назад
9 лет назад