помогите пж
1. Решите пропорцию:
а) х : 64 = 3 : 8; б) 50 : у = 10:12.
в) 7 : х = 49 : 6; г) 9 : у = 12 : 24
Ответы
Ответ дал:
1
Ответ:
Пошаговое объяснение:
а) х : 64 = 3 : 8
х=3*64:8
х= 24
б) 50 : у = 10:12
у=50*12:10
у= 60
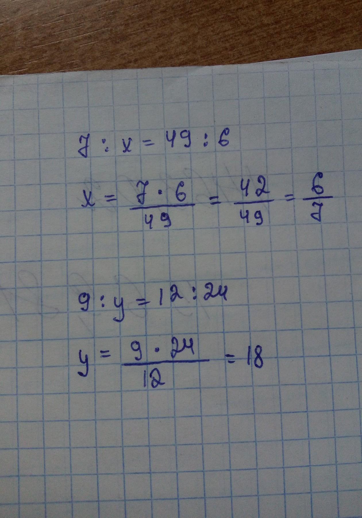
в) 7 : х = 49 : 6
х=7*6:49
х= 42/49
х= 6/7
г) 9 : у = 12 : 24
у= 9*24:12
у=18
Юличка223:
спасибо огромное
Ответ дал:
1
Ответ:
Держись) все ответы и решения на фото
Приложения:


Вас заинтересует
2 года назад
2 года назад
2 года назад
7 лет назад
7 лет назад
9 лет назад
9 лет назад