Ответы
Ответ дал:
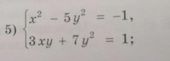
1
Ответ:
сори что почерк ужасный
Приложения:

3578ilia:
Вполне нормальный подчерк у меня хуже.
Вас заинтересует
2 года назад
2 года назад
2 года назад
2 года назад
7 лет назад
9 лет назад