• Предмет: Алгебра
  • Автор: kristinalol123
  • Вопрос задан 10 лет назад

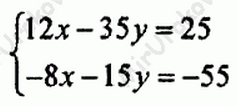
помогите решить метод алгебраического сложения: картинка визу 

Приложения:

Ответы

Ответ дал: Mizuuri
0
из первого 12х=60
х=5
подставляешь во второе -8*5-15у=-55
у=1
Вас заинтересует