• Предмет: Алгебра
  • Автор: sonmilsonmil
  • Вопрос задан 3 года назад


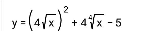
(4 \sqrt{x}) {}^{2}  + 4 \sqrt[4]{x}  - 5 = 0
помогите решить уравнение​

Ответы

Ответ дал: madinamajdanbaj
0

Объяснение:

Графика получаеться ...................................................................................

.........

Приложения:
Вас заинтересует