• Предмет: Математика
  • Автор: Vikiviki1979
  • Вопрос задан 3 года назад

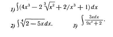
Найти неопределенные интегралы

Приложения:

Ответы

Ответ дал: pomidorkasvezhaya
0

###########################

Приложения:
Вас заинтересует