Ответы
Ответ дал:
1
Ответ:
Пошаговое объяснение:
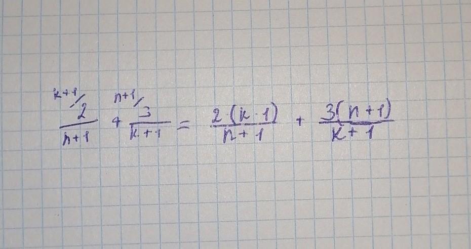
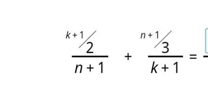
Общий знаменатель:
(n+1)(k+1)=nk+n+k+1 .
2(k+1)+3(n+1) / ( n+1)(k+1) .
liyarak:
А ,что в числителе
Ответ дал:
0
Ответ:
Если мне не изменяет память, то так
Приложения:

Вас заинтересует
2 года назад
2 года назад
2 года назад
2 года назад
7 лет назад
9 лет назад
9 лет назад