Ответы
                                            Ответ дал: 
                                                                                    
                                        
                                            
                                                
                                                
                                                
                                                    2
                                                
                                            
                                        
                                    Ответ:
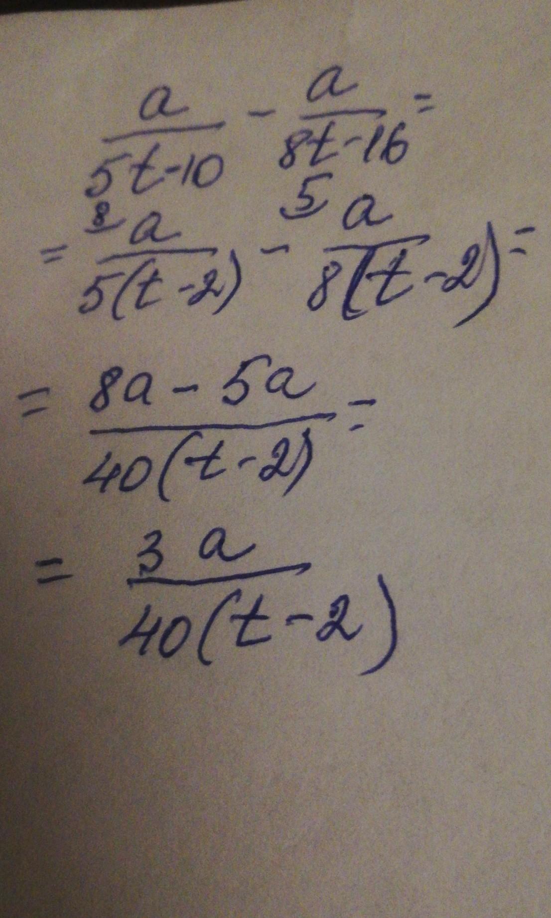
Смотри решение на фото
Приложения:
                     
                            
                    ddm2123:
                    Спс большое)))
                
            
                    
                    Ты топ))
                
            Вас заинтересует
                
                        2 года назад
                    
                
                        2 года назад
                    
                
                        2 года назад
                    
                
                        7 лет назад
                    
                