• Предмет: Математика
  • Автор: pelmen3728
  • Вопрос задан 3 года назад

даю 15 баллов сделайте пожалуйста

Приложения:

Ответы

Ответ дал: Evgenia4836
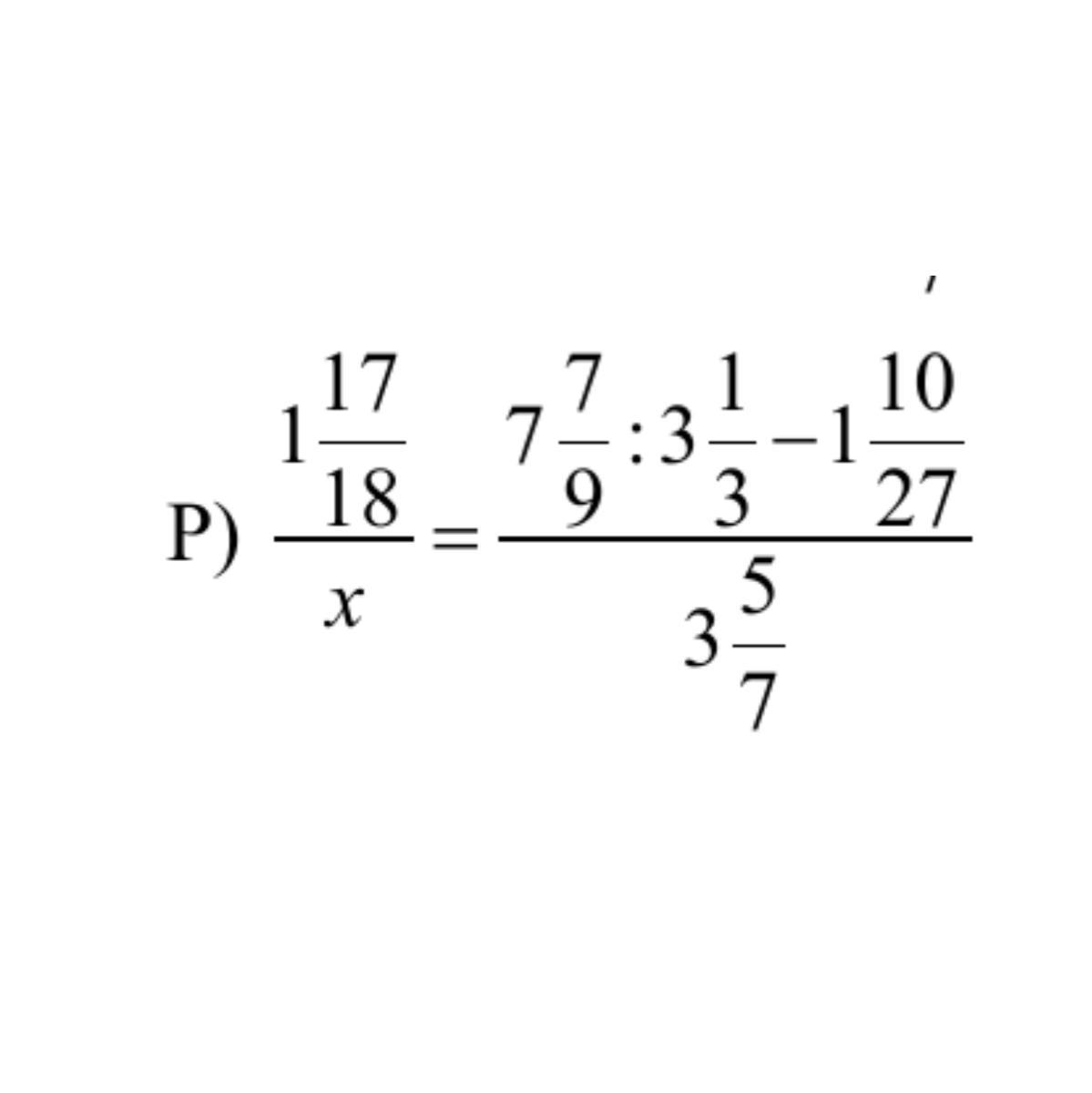
1

35/18* 26/7= x*(70/9*3/10-37/27)

65/9=x*(7/3-37/27)

65*3=x(7*9-37)

195=26x

x=7,5

Вас заинтересует