• Предмет: Алгебра
  • Автор: Bakerfycker
  • Вопрос задан 3 года назад

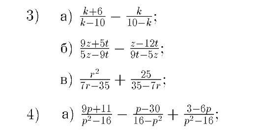
40 баллов за дроби!
Выполните сложение или вычитание дробей

Приложения:

Ответы

Ответ дал: tokistik
0

Ответ:

1 \frac{2k + 6}{k - 10}

2

 \frac{7t - 10z}{9t - 5z}

Вас заинтересует