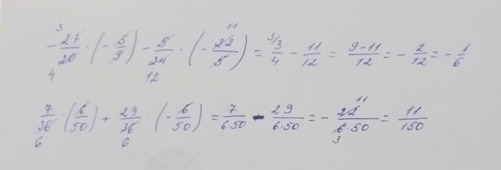
-27 20 x скобка открывается минус 5,9 минус 5,24 икс минус 25 скобка закрывается
Приложения:

adumaj98:
второе задание правильно написали
Ответы
Ответ дал:
0
Ответ:
.......................
Приложения:

Вас заинтересует
2 года назад
2 года назад
2 года назад
2 года назад
7 лет назад