• Предмет: Математика
  • Автор: 373urrdjej
  • Вопрос задан 3 года назад

Весь 3 столбик плз только ответ нужен 50 баллов

Приложения:

Ответы

Ответ дал: parus77
2

Ответ:

Пошаговое объяснение:

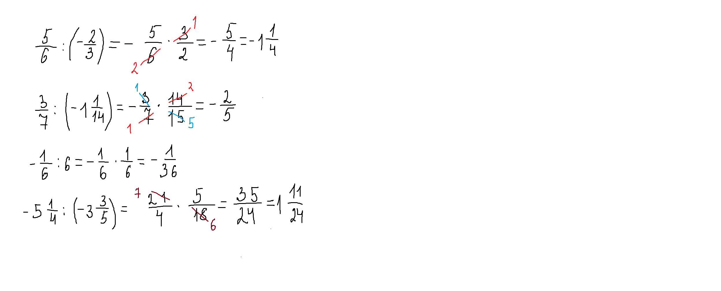
решение смотри внизу

Приложения:
Вас заинтересует