• Предмет: Алгебра
  • Автор: bekzateslyamgaliev
  • Вопрос задан 3 года назад

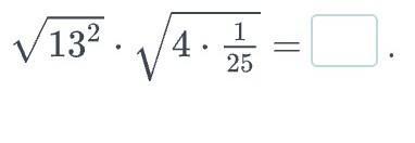
квадратный корень урок 3

Приложения:

Ответы

Ответ дал: shoraevazat6
4

Ответ:

5,2 или 26/5 100% я по фотомас делал


bekzateslyamgaliev: спасибо
Аноним: 5,2
Вас заинтересует