• Предмет: Алгебра
  • Автор: yaroslaw7a
  • Вопрос задан 3 года назад

решите пожалуйста побыстрее ​

Приложения:

Ответы

Ответ дал: vlad123addd
0

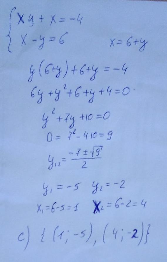
Ответ:

С)

Объяснение:

см. файл

Приложения:
Вас заинтересует