Ответы
Ответ дал:
1
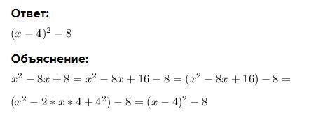
Ответ:
Объяснение:
Приложения:

zablovailona:
откуда взяли 4?
Вас заинтересует
2 года назад
2 года назад
2 года назад
7 лет назад
7 лет назад
9 лет назад