• Предмет: Алгебра
  • Автор: Kikimora1234
  • Вопрос задан 3 года назад

Помогите пожалуйста сделать 1.117.

Приложения:

Ответы

Ответ дал: irinan2014
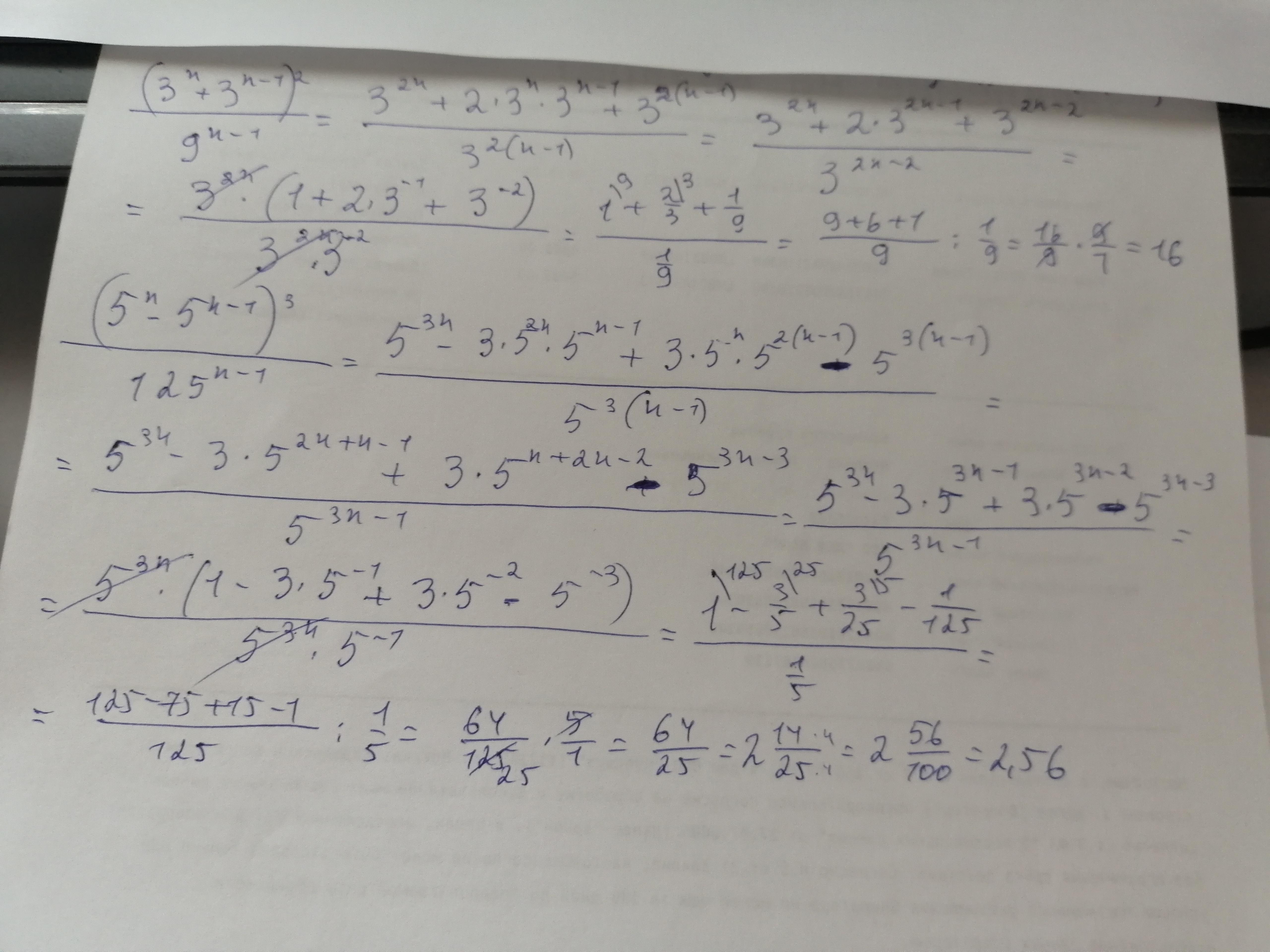
3

Ответ:

Объяснение:

Решаем по формулам сокращённого умножения.

Приложения:

batyrhanterlikbaev72: спасибо большое.все понятно и доступно.
aiboleginbai: беріндерш Алгебра 8-сынып 1.117есеп
Вас заинтересует