• Предмет: Алгебра
  • Автор: Shtillka097
  • Вопрос задан 3 года назад

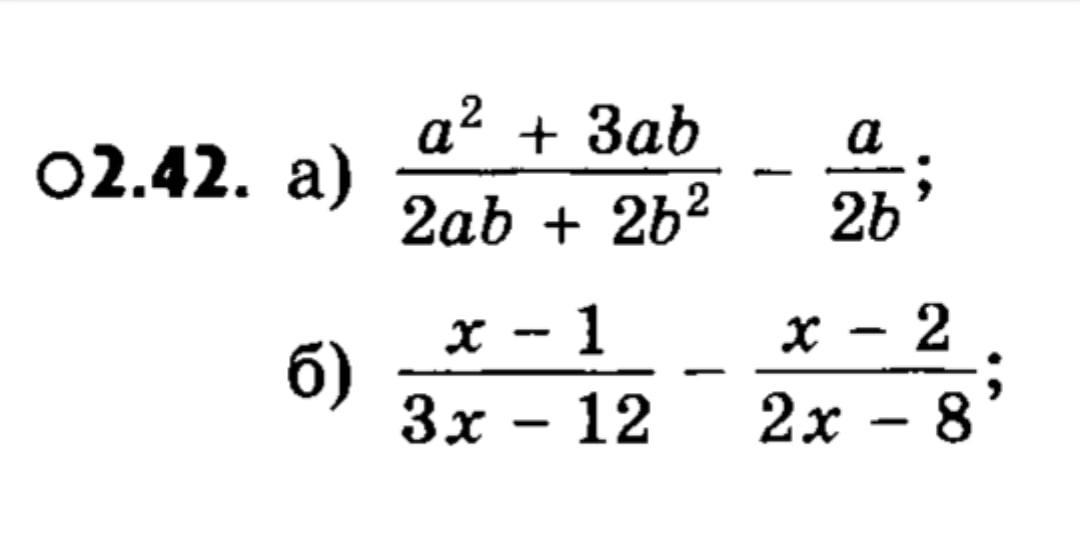
Упростите выражение с решением, спасибо заранее, даю 45 баллов

Приложения:

Ответы

Ответ дал: Anya15162
0

Ответ:

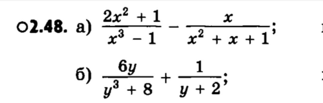
приложение фото метс, пользуйся в следущий раз)))

Приложения:
Ответ дал: yuliya250588gogina
0

Ответ:

решение на фото..........................

Приложения:
Вас заинтересует